Tóm tắt: Trung bình trên trang web, người dùng bỏ thời gian để đọc nhiều nhất là 28% số từ; còn hầu hết là 20%.
Chúng tôi biết điều này từ nghiên cứu đầu tiên về cách người dùng đọc trên Web cho thấy là họ thường không đọc nhiều. Đọc lướt (Scanning) văn bản là hành vi cực kỳ phổ biến của người có trình độ học vấn cao; nghiên cứu gần đây của chúng tôi về eyetracking xác nhận rõ thêm phát hiện này.
Chỉ có một điều mà chúng tôi không rõ là công thức toán học để định lượng chính xác mức độ (hoặc số lượng ít ỏi) mà mọi người đọc khi họ online. Giờ, cảm ơn các dữ liệu mới, chúng ta đã biết điều đấy khá rõ.
Nghiên cứu
Trong nghiên cứu của nhóm tác Harald Weinreich, Hartmut Obendorf, Eelco Herder, và Matthias Mayer thực hiện năm 2008, các tác giả xem xét, ghi lại 25 người dùng duyệt web về tất cả các hành động thông thường của họ đã làm khi họ dùng trang web. Điều quan trọng về nghiên cứu này là nó hoàn toàn tự nhiên (completely naturalistic): những người dùng không làm bất cứ điều gì đặc biệt cả.
Nhược điểm của nghiên cứu này là các người dùng tham gia đều thông minh hơn trung bình, trong đó có vài người làm trong trường đại học. Tuy nhiên, điều này có thể không phải là vấn đề quá lớn.
Nếu, thí dụ, chúng ta so sánh dữ liệu chúng tôi thu thập được trong năm 2008 cho hội thảo Các hướng dẫn quan trọng nhất về thiết kế Web UX với một nghiên cứu được thực hiện vào năm 2004, chúng ta sẽ thấy các hành vi trung bình rất giống với người dùng cao cấp của năm 2004.
Vì vậy, mặc dù ngay cả khi dữ liệu của Weinreich đại diện cho nhóm người dùng cao cấp, nó sẽ khá tương đồng với hành vi cho những nhóm đối tượng rộng lớn hơn trong tương lai. Trong thực tế, nhóm tác giả thu thập dữ liệu trong năm 2005, vì vậy các hành vi được ghi lại này có thể đã trở nên khá phổ biến rồi.
Trong bất cứ trường hợp nào, nghiên cứu này cũng đã đưa ra một số phát hiện thú vị, và nội dung đầy đủ (phải mất mấy chục đô để đọc nội dung đầy đủ) rất đáng bỏ công đọc.
Trong số đó, các tác giả phát hiện ra rằng, nút Back (quay lại) hiện chỉ xếp thứ 3 trong các chức năng hay được dùng nhất trên Web. Click vào đường liên kết văn bản vẫn là chức năng được dùng nhiều nhất, nhưng click vào các nút (trên trang web) giờ đã vượt qua nút Back để trở thành tính năng được sử dụng nhiều thứ hai.
Lý do của thay đổi này là sự phổ biến gia tăng của các ứng dụng và các chức năng đa dạng (feature-rich) trên Web yêu cầu người dùng click vào nút để truy cập các chức năng đó của họ.
Tất nhiên, nút Back vẫn là nút cực kỳ quan trọng với người dùng và trong các hướng dẫn về tính khả dụng nó vẫn thường là yếu tố được nhắc đến nhiều. (Bỏ nút Back là sai lầm số một về thiết kế trong năm 1999 và vẫn nằm trong nhóm sai lầm lớn nhất cho đến tận ngày hôm nay.)
Hành vi đọc thực tế
Harald Weinreich đã rất tử tế cung cấp cho tôi chi tiết tệp dữ liệu với 59,573 lượt xem trang.
Từ dữ liệu này, tôi loại bỏ các bản ghi sau:
- 10 163 lượt xem (17%) kéo dài ít hơn 4 giây. Trong những lần “ghé thăm” ngắn như vậy, người dùng rõ ràng là rời khỏi trang ngay lập tức mà không thực sự “sử dụng” trang.
- 2 615 lượt xem (4%) kéo dài hơn 10 phút. Trong trường hợp này, người dùng hầu như chắc chắn để lại trình duyệt cứ mở như vậy trong khi làm việc gì đó khác.
- 1 558 lượt xem (3%) với số lượng từ chỉ khoảng 20 từ. Những trang như thế có thể bị lỗi server hoặc bị gián đoạn (disrupted) khi tải về.
Sau khi dọn dẹp tệp dữ liệu, tôi đã đưa 45 237 lượt xem vào phân tích của mình.
Tôi có được công thức mô tả rất tốt hành vi đọc của người dùng cho các trang có số từ trong khoảng từ 30 đến 1250. Với trang dài hơn, việc đọc trở nên khá thất thường.
Các trang có số lượng từ lớn có thể không phải là trang “thực” một chút nào – chúng giống như nội dung hàn lâm hoặc trang “đều khoản & điều kiện”, những trang mà người dùng không muốn bỏ thời gian ra đọc. [Trong nghiên cứu cho cuốn sách Ưu tiên Tính khả dụng của Web, chúng tôi phát hiện ra rằng mọi người chỉ đọc 10% văn bản kiểu các “điều khoản cần đồng ý”.]
Bảng dưới đây cho thấy thời gian trung bình người dùng ở trên trang tuỳ vào số từ của trang:
Chắc chắn, người dùng có xu hướng ở lại lâu hơn trên trang có nhiều thông tin. Dầu vậy, các công thức phù hợp nhất (best-fit formula) tiết lộ với chúng tôi là họ chỉ dùng 4,4 giây cho mỗi 100 từ.
Thông thường, tôi giả định tốc độ đọc là 200 từ mỗi phút (words per minute – WPM), nhưng bởi vì người dùng trong nghiên cứu này có trình độ học vấn cao, tôi tăng lên 250 WPM. Ở tốc độ đọc đó, người dùng chỉ có thể đọc được 18 từ trong 4,4 giây. Vì vậy, khi văn bản của bạn dài, bạn có thể giả định là người dùng chỉ đọc 18% toàn bộ thôi.
Tỉ lệ đọc văn bản
Đây không phải là nghiên cứu về eyetracking (kiểu theo dõi hành vi của con ngươi khi đọc, xem văn bản), vì vậy chúng tôi không biết cách người dùng phân bổ thời gian trên trang Web.
Công thức bên trên chỉ ra rằng, thời gian cố định là khoảng 25 giây, thêm vào đó là 4,4 giây cho mỗi 100 từ. (Tất nhiên, các con số không phải là “cố định” theo nghĩa là nó luôn luôn có cùng giá trị – đây là những giá trị trung bình.)
Công thức này dường như chỉ ra rằng mọi người sử dụng thời gian của họ để hiểu bố cục trang (page layout) và các chức năng điều hướng, cũng như nhìn hình ảnh. Rõ ràng, người dùng không dành toàn bộ thời gian chỉ để đọc.
Dù sao, tổng thời gian trên trang chắc chắn là giới hạn trên của tổng thời gian có thể cho việc đọc (ý là thời gian đọc lúc nào cũng ít hơn tổng thời gian trên trang). Vì vậy, chúng tôi có thể tính toán giả thuyết về tổng số từ người dùng có thể đọc, nếu họ phân bổ toàn bộ thời gian ghé thăm trang để đọc.
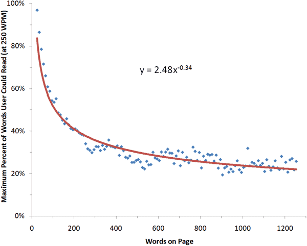
Bảng dưới đây cho thấy số từ tối đa người dùng có thể đọc trong suốt một lần ghé thăm trung bình tới trang tương ứng với số từ khác nhau:
Đây là một đường cong suy giảm rất nhanh chóng (rapidly declining curve). Trong một lần truy cập trung bình, người dùng chỉ đọc một nửa thông tin mặc dù trang chỉ có 111 từ hoặc ít hơn.
Trong tệp dữ liệu đầy đủ, trang trung bình có 593 từ. Vì vậy, tính theo trung bình, người dùng chỉ có thời gian để đọc 28% số từ nếu họ dành hết thời gian cho việc đọc. Nhưng thực tế (realistically) hơn thì trung bình người dùng sẽ chỉ đọc 20% văn bản mà thôi.
Để ví dụ về số từ trên các trang đa dạng như thế nào, đây là tổng số từ cho một số bài viết phổ biến của tôi (đây là một số bài viết của tác giả, ông muốn xem số từ của nó):
| Blah-Blah Text: Keep, Cut, or Kill? | 902 |
| This column | 1068 |
| Passive Voice Is Redeemed For Web Headings | 1079 |
| Change the Color of Visited Links | 1209 |
| Intranet Information Architecture (IA) | 1991 |
| Top-10 Application-Design Mistakes | 3572 |
Rõ ràng, hầu hết các bài viết của tôi người đọc trung bình cũng không đọc nó nhiều. Nhưng tôi ý thức vào việc hướng đến một nhóm nhỏ độc giả ưu tú (elite readership) với cam kết vững chắc về tính khả dụng.
Nếu bạn nhắm đến đối tượng khách hàng rộng lớn hoặc có chu kỳ bán hàng (sales cycles) ngắn hơn 5 năm, sẽ khôn ngoan hơn nếu bạn có số từ được kiểm soát nghiêm ngặt theo xu hướng tối giản về số lượng.
Chú thích của người dịch: chúng ta hiểu tầm quan trọng của việc viết theo mô hình kim tự tháp lộn ngược quan trọng như thế nào với thói quen đọc ít và đọc lướt của người dùng.
(Dịch từ bài viết How Little Do Users Read? by JAKOB NIELSEN on May 6, 2008 – Nielsen Norman Group)

